有田市 宮崎氏の歴史と伝承を紐解くⅠ【宮崎氏の実存に迫る:湯浅党との関係】

〜伝承と史実の多角的な検証〜有田市野村にも宮崎氏の城があったという話を聞き、隣接する保田湯浅氏との関係性に興味を持ちました。両者の間で領地争いや婚姻の話があまり聞かれないことに着目し、急遽調べてみたものです。素人による主観的な考察であることをご理解ください。

はじめに:宮崎氏を巡る謎

紀伊国有田郡に存在したとされる宮崎氏は、嘉応元年(1169年)に宮崎定範が野村(箕島)に築城したことに始まると伝えられています。その系譜は熊野別当一族と結びつき、平氏に仕える武士団であったとされます。しかし、この伝承には多くの謎が潜んでいます。本稿では、複数の歴史資料を基に、宮崎氏の実在性と、同じ紀伊国北部に勢力を持った湯浅党との関係性を多角的に検証します。この研究は、単なる歴史的事実の探求に留まらず、伝承がいかに形成され、史実と乖離していったのかを明らかにすることを目的としています。

宮崎定範 想像図

宮崎定範の写真

宮崎定範

---

伝承上の宮崎氏と史料の矛盾

有田市に伝わる「宮崎定範が田辺別当湛全の弟で、野村に城を築いた」という伝承は、史料批判の観点から複数の矛盾を抱えています。まず、熊野別当家の系図上では、湛増と兄弟の関係に「湛全」という人物は確認できません。さらに、「宮崎定範」という人物は、異なる時代・地域で活動した複数の人物と混同されている可能性があります。

これらのことから、伝承上の宮崎定範は、越中の武将の武勇伝や熊野別当家の系譜上の名前を借りて、後世に創り上げられた可能性が高いと結論づけられます。

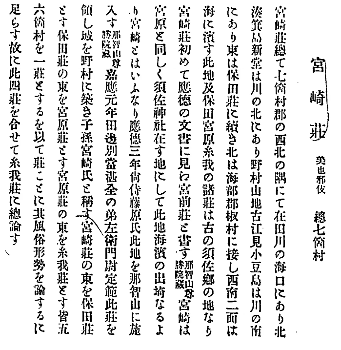
伝承の基盤となった史料:『紀伊続風土記』

宮崎氏に関連する古文書。文字が不鮮明なため内容の正確な判読は困難です。

『紀伊続風土記』に記された宮崎氏に関する記述の一部とみられる古文書。

---

湯浅党と熊野別当一族:歴史的協力関係の考察

宮崎定範の実在は疑わしいものの、宮崎氏の母体とされる熊野別当家と、紀伊国北部の湯浅党との関係は、歴史的に重要なものでした。両者は、平治の乱において平清盛の窮地を救うため、戦略的な協力関係を築いていました。

湯浅党と熊野別当一族の関係を示す歴史的資料や地図

湯浅党と熊野別当家が協力関係にあったことを示すイメージ写真(注:南紀湯浅誌より)

平治の乱の報を紀伊国で受けた平清盛に対し、湯浅宗重は迅速に兵を提供しさらに熊野別当(当主は湛快)からの軍事支援を取り次ぐことで、清盛の帰京を可能にしました。この協力関係の背景には、以下の要因があったと考えられます。

この協力関係は、源平合戦後の鎌倉幕府体制下でも続き、両勢力は幕府の御家人となることで、地域内の秩序を保ち、大規模な武力衝突を避けることができました。

---

地域に残る伝承:夜泣き石伝説

宮崎氏の存在が歴史的史料で立証困難である一方で、彼らにまつわる伝説は現代にまで語り継がれています。「夜泣き石」の伝説は、天正年間(16世紀末)の豊臣秀長による紀伊国侵攻で宮崎氏が落城した際の悲劇を伝えています。

夜泣き石1

夜泣き石

夜泣き石2

夜泣き石が祀られている場所

城主の妻が、追っ手から逃れるために幼い子を抱いて川へ身を投じますが、子どもの泣き声が止まず、その魂が石に乗り移って夜な夜な泣き続けたと伝えられます。この石は、子供の夜泣きを鎮める御利益があるとされ、現在も有田市箕島自然寺の境内に大切に祀られています。

この伝説は、歴史的事実そのものではなく、滅亡した在地勢力の悲劇を後世に伝えるための「物語」として形成されたと解釈できます。史実が不明瞭な部分を、人々の記憶に残る悲話として継承していく地域の知恵が、ここに見て取れます。

---

年表と人物比較:伝承と史実の対比

年表

宮崎氏と湯浅党の比較

項目 宮崎氏(伝承) 湯浅党(史実)
起源 1169年、宮崎定範が野村城を築く。 平重盛の家人団、湯浅荘を本拠に成立。
拠点 野村(箕島) 湯浅荘(湯浅町)
主要人物 宮崎定範(伝承上の人物) 湯浅宗重
衰退 天正期に滅亡(伝承)。 戦国末期に衰退(分裂存続)。

宮崎氏の歴史と伝承を紐解くⅡへ

【管理人雑記シリーズトップに戻る】

参考文献:『紀伊国続風土記』、有田市ふるさと散歩、地域伝承(夜泣き石伝説)ほか。